PrivacyTerms
GIPHY Logo
Sillycat1917
13
Uploads
55.7K
GIF Views

Nature photographer & amateur rock climber

instagram.com
instagram

1 Collections

All the Valeria Bor GIFs

Omgisthativywolk GIFAnimated GIFAnimated GIF
Holyfisthativywolk GIFDamngirlyoulooklikeivywolk GIFIhatedannybuller GIFAnimated GIF
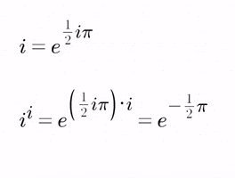
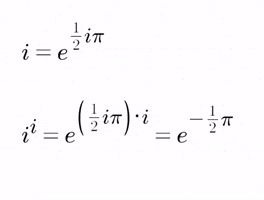
Holyfisthativywolk GIFCathandsdancesticker GIFMathematizeetoipi GIF
Try our App